黄漫 刘永学教授课题组在全球离岸伴生天然气燃烧排放遥感监测方面取得重要进展。
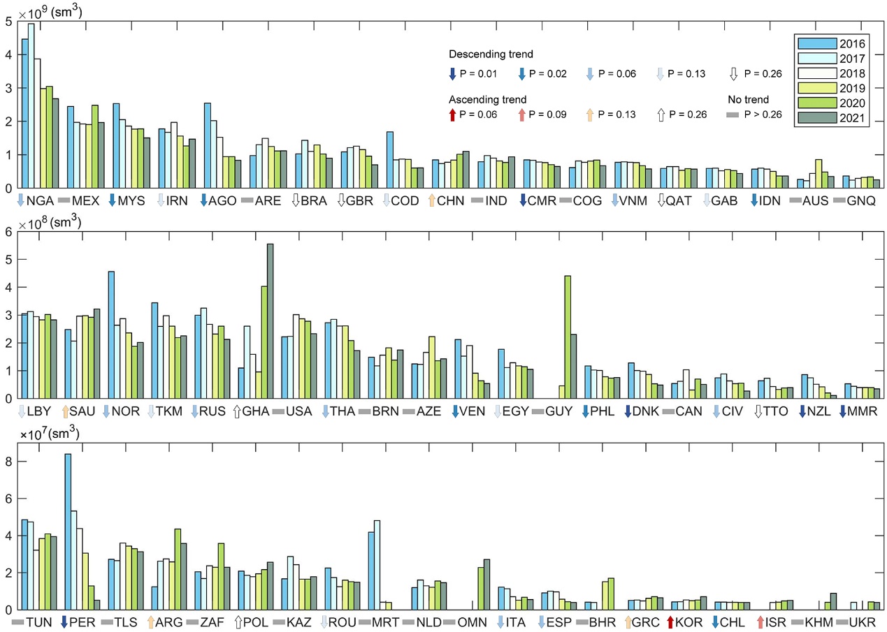
油气开发中的伴生天然气(主要成分为甲烷)燃烧是对资源的极大浪费,也是重要的温室气体人为排放源之一。精细识别并监测全球尺度伴生天然气燃烧排放点源,分析其格局、状态与排放动态,对科学制定行业减/限排方案、确定国家自主排放贡献、评估全球减排目标进展等意义重大。研究聚焦离岸油气开发中的伴生天然气燃烧,主要技术创新、科学发现与对策建议包括:(1) 创新性地利用伴生天然气燃烧释放的高温信号,提出了基于中分光学影像的伴生天然气燃烧遥感监测框架;设计了基于时序光学影像的归一化燃烧排放指数,结合燃烧排放数据,构建了高精度伴生天然气燃烧排放估算模型(图1),突破了其遥感监测瓶颈。双盲验证表明(投稿前估算的2021年离岸燃烧排放量与投稿后相关国家公布的燃烧量):构建的燃烧排放估算模型误差为已有估算模型的30%(图2)。(2) 将构建的离岸伴生天然气燃烧动态监测框架应用于全球853万余景Sentinle-2 MSI影像,生成了全球首套高分辨率离岸伴生天然气燃烧点源排放清单(图3)。月度尺度对比分析表明:已有清单检测率仅为研究构建清单的40% (图4)。以上全球尺度应用实践表明:中分光学传感器(如Sentinel-2 MSI),尽管并非为温室气体排放监测设计,但经精心的算法设计,有极大的高精度工业高温热源排放监测应用潜力。(3) 研究发现全球离岸伴生天然气燃烧排放呈帕累托分布,即20%离岸伴生天然气燃烧点源贡献了约80%燃烧排放量(图5);并据此给出了全球离岸伴生天然气燃烧点源变现潜力分级(图6)。(4) 研究明确了点源尺度、国家尺度、全球尺度2016–2021年离岸伴生天然气燃烧排放动态(图7)。研究还发现尽管近年来离岸伴生天然气燃烧排放下降明显,但世界银行全球减少天然气燃烧伙伴组织(GGFR)提出的零常规燃烧目标(Zero Routine Flaring, ZRF)仍难以按期实现(图8)。
该成果以“Global declines of offshore gas flaring inadequate to meet the 2030 goal”为题于2023年5月11日发表在《Nature Sustainability》(//www.nature.com/articles/s41893-023-01125-5)。论文一作、通讯为刘永学教授。美国南佛罗里达大学胡传民教授、西湖大学张羽中博士和南京农业大学王松寒教授为主要合作者。黄漫 为唯一一作单位和通讯单位。

图1 (a) 基于时间序列Sentinel-2 MSI影像的离岸伴生天然气燃烧排放估算模型;(b)已有基于VIIRS Night-Fire (VNF)估算模型

图2 离岸伴生天然气燃烧排放双盲验证。(a) 本文MSI模型估算结果与实际燃烧排放差异;(b) 已有的VIIRS VNF估算模型与实际燃烧排放数据差异。红点为2021年双盲验证结果。GOM为美国墨西哥湾

图3 全球离岸伴生天然气燃烧位置分布(基于853
景Sentinel-2 MSI 20米分辨率影像)

图4 全球离岸伴生天然气燃烧清单数量(月度)对比(MSI:本研究;VIIRS:已有清单)

图5 全球离岸伴生天然气燃烧排放呈帕累托分布

图6 全球离岸伴生天然气变现潜力分级

图7 2016–2021年各国离岸伴生天然气年燃烧排放量估计结果

图8 (a) 2016–2021年全球离岸伴生天然气燃烧动态(蓝点:年发生频率;绿点:伴生天然气燃烧年平均辐亮度);(b) 全球离岸伴生天然气燃烧排放量估计与预测(红点:MSI估算结果;黄点:VIIRS 估算结果)
